Лабораторная работа №1
1.1. Тема: «Построение диаграммы истинных напряжений»
Диаграммы истинных напряжений (кривые упрочнения) дают зависимость величины напряжения,
действующего в пластически деформируемом теле при линейном напряжённом состоянии, от величины деформации.
Такие деформации могут быть построены по результатам испытаний на сжатие и на растяжение. Они позволяют получать даны о материале при условиях,
характерных для большинства процессов обработки металлов давлением. Для приближения напряжённого состояния при сжатии к линейному, необходимо устремить
влияние на этот процесс внешнего трения. Для этого будут использованы полированные плиты и специальные образцы, на торцевую поверхность которых нанесён парафин
(рис. 1.1).

Рис. 1.1 Схема эксперимента
Цель работы
Построить диаграмму истинных напряжений по результатам испытания образцов на сжатие.
Материальное обеспечение
- Универсально-испытательная машина УИМ-50.
- Полированные плиты для осадки.
- Образцы алюминиевые цилиндрические:

Порядок выполнения работы
- Исходные размеры образцов записываем в табл. 1.1.
- Производим осадку образцов на 6 мм с отсчётом усилия по силоизмерителю УИМ-50
через каждые 1 мм осадки. Полученные результаты заносим в табл. 1.1.
- Определяем степень деформации по формулам:

где
- ε - относительная деформация уменьшения высоты;
- ψ - относительная деформация увеличения площади;
- h0 – начальная высота образца;
- F0 – начальная площадь поперечного сечения образца;
- h, F – текущее значение высоты и площади поперечного сечения образца.
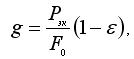
- Определяем величину удельного усилия осадки по формуле:

где
Pэк – экспериментально полученное усилие осадки на соответствующей стадии.
По данным таблицы 1.1. строим кривые в координатах
и
.
По этим данным выбираем характер возможных аппроксимирующих кривых.
Таблица 1.1

Экспериментальные данные по осадке образцов

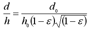
- Определяем текущее отношение диаметра образца к его высоте (без учёта бочкообразности) для определённых значений ε и результаты заносим в таблицу 1.2.:

Таблица 1.2. Влияние относительной высоты образца на удельное усилие деформирования и
степени деформации на истинное напряжение текучести

- По данным таблицы 1.2. для каждого значения ε строим по три точки в координатах q-d/h. Затем путём экстраполяции (продолжая прямую,
проходящую через три точки до пересечения с осью абсцисс)определяем истинное напряжение текучести для разных значений ε.
Результаты заносим в табл. 1.3.
Таблица 1.3.

- По полученным результатам строится кривая истинных напряжений (кривая упрочнения) в координатах σs-ε

- Выводы по работе:
- о характере изменения кривой упрочнения;
- о влиянии упрочнения на усилие деформирования;
- о влиянии d/h на усилие деформирования.
Подобрать аппроксимирующую функцию
или 
Вопросы для самоконтроля
- Какие факторы влияют на сопротивление деформированию при обработке металлов давлением?
- Что называется кривой упрочнения или диаграммой истинных напряжений?
- Для какого напряженного состояния строят кривые упрочнения?
- Какие экспериментальные методы построения кривых упрочнения вы знаете?
- Для чего необходимо устранять влияние контактного трения при построении диаграммы истинных напряжений по результатам испытания образцов на сжатие?
- Какие экспериментальные и аналитические методы используют в данной работе для устранения влияния контактного трения при осадке образцов?