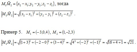
Вычисление расстояния между двумя точками, заданными координатами

Пусть две точки заданы координатами:
Определим расстояние

Точкам М1 и М2 поставим в соответствие векторы и

Используем Правило 1 и вычисляем координаты вектора